How to Run Python from R Studio
Modern data science is fundamentally multi-lingual. At a minimum, most data scientists are comfortable working in R, Python and SQL;
Modern data science is fundamentally multi-lingual. At a minimum, most data scientists are comfortable working in R, Python and SQL;
In this post, we’re going to show how a quant trader can manipulate stock price data using the dplyr R
Every aspiring millionaire who comes to the markets armed with some programming ability has implemented a systematic Get Rich Quick
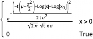
We’ve been working on visualisation tools to make option pricing models intuitive to the non-mathematician. Fundamental to such an exercise
This post summarises the key lessons of the academic literature that has been published on pairs trading. The key themes
One of the things I’ve noticed from staring at the screen all day for the last few months is that
In today’s post we are going to be extracting CoT (Commitment of Traders) reports from the CFTC website using a
In the eye of the recent storm, with VIX up over 50, many traders were looking to “short the VIX”